多孔材料在开发低成本、高能效的分离工艺方面非常有前途,例如从乙烯/乙烷(C2H4/C2H6)混合物中提纯乙烯,这是一个重要但目前具有挑战性的工业过程。
近日,福建师范大学张章静研究员、项生昌研究员和美国德州大学圣安东尼奥分校的陈邦林教授等人利用简单有机分子自组装氢键有机框架材料(HOF,HOF-FJU-1),提出温度和压力协同调控的“门控机制”策略,实现对乙烯/乙烷的高效分离。相关研究成果以“Ethylene/ethane separation in a stable hydrogen-bonded organic framework through a gating mechanism”为题,于2021年7月8日在线发表在Nature Chemistry期刊上(DOI: 10.1038/s41557-021-00740-z)。

图1:调控“门控机制”用于气体的高效选择性分离
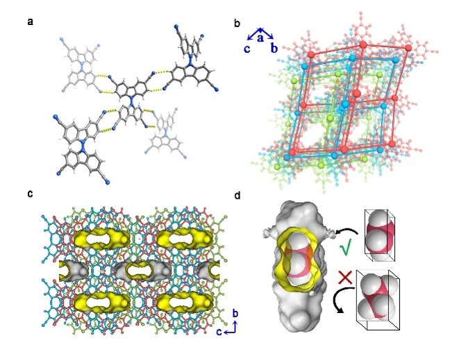
该研究团队制备了一种由四氰基-联咔唑组成的微孔HOF,HOF-FJU-1通过分子间CN···H-C氢键作用结合在一起,形成一个三重穿插的骨架,具有合适大小的孔,可以选择性地捕获乙烯。特别的是,氢键有机骨架表现“刚柔并济”的结构特点,并通过“门控机制”实现高效乙烯/乙烷分离。通过研究表明,相比较于乙烯,乙烷仅在较低温度下具有吸附,而且其阈值压力随温度升高而显著增加(吸附量降低)。乙烯/乙烷的分离通过穿透实验得到验证,在工况温度(333 K)下可获得高纯度的乙烯(99.1%)。单晶结构表明,乙烯分子通过弱的C-H…π相互作用吸附在孔道中。同时,这种微孔HOF材料具有优异的热稳定性,在水、强酸、强碱,一些极性有机溶剂中都能保持骨架稳定。

图2:本文HOF的结构
实验结果表明,随着温度升高,吸附气体所需的阈值压力增加,在工况温度(333 K)时最大程度上减少共吸附现象,实现最优的乙烯分离效果(乙烯纯度可达99.1%)。单晶结构表明,乙烯分子通过弱的C-H…π相互作用吸附在孔道中。同时,这种微孔HOF材料具有优异的热稳定性,在水、强酸、强碱,一些极性有机溶剂中都能保持骨架稳定。

图3:不同温度下HOF-FJU-1对C2H4和C2H6的气体吸附曲线、与C2H4/C2H6混合气在不同温度下的穿透实验和穿透循环实验
(摘自材料牛网)