多酸的精准合成对于理解结构和功能之间的构效关系起到至关重要的作用,然而,在不改变多酸主体框架的前提下,完成特定位点的原子级剪裁是一项巨大挑战。近日,东北师范大学陈维超副教授与王新龙教授等人实现了对于新型高核钼氧团簇{Mo132}帽轮的铈介导分子裁剪。该{Mo132}包含了前所未有的{Mo110}轮和2个{Mo11}帽,与经典球型{Mo132}互为准同分异构体,但表现出不同的光学行为。铈离子通过‘Inner-On-Outer’配位方式取代前驱体{Mo132}帽轮中反应位点{MoV2}单元,进而驱动裁剪位点{MoV2*}单元的解离,最终产生可预测的半封闭型剪裁产物{Ce11Mo96}。{Ce11Mo96}表现出高质子传导效果,比前驱体{Mo132}帽轮高出近两个数量级,利用水蒸气条件下的原位红外光谱从分子水平上探究了质子传导增强的原因。这项工作有效推进了功能性多金属氧簇的可控组装。

图1. 铈介导分子剪裁实现半封闭型多酸精准合成。图片来源:Nat. Commun.
多酸是结构多样的分子簇,通过合成新型高核钼氧团簇来探索多酸材料的基本结构和键连原理,进而发掘其在各个领域的应用是一个重要研究课题。精准合成高核钼氧团簇有利于从根本上理解不同的结构单元对其整体性能的影响。轮型高核钼氧团簇是钼多酸家族成员之一,其可以进一步修饰形成笼状结构,例如经典{Mo248},它是以{Mo176}为母体通过分子生长而形成。钼轮中的{Mo2}单元有较强的活性,可以被亲电试剂取代(镧系金属)、可以形成“缺陷”位点或者被氨基酸/羧酸配体修饰,最终实现结构功能化。在钼轮中掺杂镧系金属离子,控制其配位方式和位置,可有效调节钼轮的形状和尺寸。因此,作者运用包含大量{Mo2}单元的笼状高核钼簇作为前驱体,通过向体系中引入镧系金属离子,进而探索铈介导的精确原子级裁剪过程。
剪裁前驱体{Mo132}帽轮
{Mo132}表现出D5d对称性,其具有经典轮型拓扑结构。上下表面被两个帽所覆盖,从而形成了一个封闭的帽轮结构。{Mo132}可以分为两部分,一部分是由{Mo8}、{Mo2}和{Mo1}单元重复十次而组成的主体轮型十聚体{Mo110},而另一部分是两个{Mo11}单元。

图2. {Mo132}帽轮的结构图。图片来源:Nat. Commun.
钼绿多酸{Mo132}帽轮
帽轮型{Mo132}包含12个五边形{Mo6}单元和10个共边{MoV2}单元,经典球型{Mo132}是由12个五边形{Mo6}单元和30个共边{MoV2}单元组成,二者具有相同还原度(45%,MoV60MoVI72),它们互为准同分异构体。帽轮型{Mo132}的水溶液显现墨绿色,吸收峰位置约在720 nm,而球型{Mo132}的水溶液呈现棕色,吸收峰位置约在450 nm。密度泛函理论表明球型{Mo132}(钼棕)的还原态电子定域在共边{MoV2}单元,而帽轮{Mo132}(钼绿)的电子密度图表明还原态电子离域在轮结构的{Mo5O6}单元与帽结构的{MoV2}单元。实验与理论表明高核钼氧团簇溶液颜色不仅与钼簇的还原程度有关,也受到还原态电子位置的影响。
剪裁产物{Ce11Mo96}
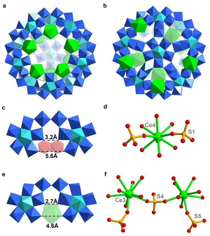
铈离子取代{Mo110}单元中所有{Mo2}单元,进而产生缺失一个{Mo11}帽的半封闭结构{Ce11Mo96}。铈离子介导的分子剪裁源于铈采用不同的‘Inner-On-Outer’配位模式。铈离子采用'On'方式取代{Mo2}导致一个{Mo11}帽单元丢失,然而,以'Inner','Outer'以及'Inner-Outer'配位模式取代{Mo2}是促使另一侧{Mo11}帽单元保留的原因。

图3. 剪裁产物{Ce11Mo96}结构图。图片来源:Nat. Commun.
增强的质子传导性能
质子传导测试表明剪裁产物{Ce11Mo96}比前驱体{Mo132}具有更好的质子传导效果。在80°C和98% RH下,{Ce11Mo96}的质子传导率为9.01 × 10?2 S cm?1,比{Mo132}高出近两个数量级。水蒸气吸附与脱附实验可以看出两种化合物的质子传导差异是源于半封闭{Ce11Mo96}比全封闭{Mo132}具有更好的水蒸气吸附能力。水蒸气条件下的原位红外光谱研究了两种化合物的水分子状态,水分子中的羟基伸缩振动区可呈现四种峰,分别位于(i) 3513~3569 cm-1,(ii) 3327~3403 cm-1,(iii) 3155~3236 cm-1和(iv) 2988~3012 cm-1,对应于晶体结构中的四种羟基类型:(a)水分子中羟基在金属离子附近没有形成氢键,(b)水分子中羟基在金属离子附近与一个氧原子形成氢键,(c)与两个氧原子形成氢键,(d)形成距离更短的氢键。与{Mo132}相比,{Ce11Mo96}中每种特征峰均向低波数移动,这表明氢键网络增强,有利于质子传输。

图4. 化合物的质子传导、水蒸气吸附以及原位红外光谱。图片来源:Nat. Commun.
小结
作者设计合成了钼绿多酸{Mo132}帽轮,将其作为分子剪裁前驱体以实现功能性多酸精准合成。分子裁剪过程是由具有‘Inner-On-Outer’结合模式的铈离子取代共边{Mo2}单元,通过剪切位点{Mo2*}的解离驱动{Mo132}的一个{Mo11}单元丢失,最终获得可预测的半封闭产物{Ce11Mo96}。质子传导研究表明{Ce11Mo96}是高质子导体,可在相对较宽的温度范围内保持高而稳定的质子传导率。这项工作为通过精准裁剪过程以实现多酸可控组装提供新的思路。
这一研究成果“Ce-mediated molecular tailoring on gigantic polyoxometalate {Mo132} into half-closed {Ce11Mo96} for high proton conduction”近期发表于《自然·通讯》期刊上(Nat. Commun., 2023, 14, 5025, DOI: 10.1038/s41467-023-40685-0)。
(摘自X-MOL)