光催化产氢因其具有经济高效、环境友好的优点,因此在生产清洁、可再生和可储存能源方面受到了广泛关注。与传统金属配合物相比,金属有机笼状化合物由于具有可调的化学组成与明确的纳米尺度结构,这有助于调节金属笼内的电子或能量传递,从而提高光催化活性。然而,目前基于金属笼的光催化产氢体系大多缺乏用于光催化的不饱和金属中心,虽然引入额外的催化金属中心可解决问题,但这些不饱和金属节点可能干扰主要配位键并破坏金属笼的结构。此外,实现高效的光催化产氢还需要将吸光能力良好的光敏剂引入至金属笼中,因此,发展同时满足以上需求并完成高效光催化产氢的金属笼需仍具有挑战。
针对这一问题,西安交通大学材料学院张明明教授课题基于多组分配位金属笼的优势与同网格合成的策略相结合,成功制备了一系列结构与功能可调的金属笼(图1),该策略可以在保持金属笼结构完整的基础上将金属铼催化剂与四苯乙烯光敏剂同时整合至金属笼中,从而实现高效光催化产氢。相关研究成果“Isoreticular Preparation of Tetraphenylethylene-based Multicomponent Metallacages towards Light-Driven Hydrogen Production”发表在《德国应用化学》杂志上(Angew. Chem. Int. Ed., 2023, DOI: 10.1002/anie.202311137)。

图1 四苯乙烯多组分金属笼的组装示意图
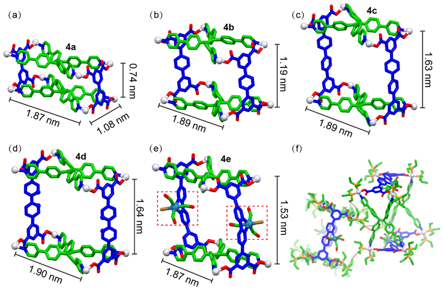
通过对金属笼晶体样品的单晶X射线衍射测试可以得到该金属笼的一系列晶体结构,该结构由两个相互平行的四苯乙烯(TPE)单元与两个羧酸钠配体通过顶点处八个金属Pt配体相连接,形成桶状的三维结构。其中在用于光催化产氢的金属笼4e的晶体结构中,TPE光敏单元和Re(CO)5Br催化中心的位置通过金属配位键固定,从而减小了这两个组分之间的距离,有利于从TPE单元与Re催化中心之间的高效电子传递,从而增强了金属笼内Re金属中心的光催化活性。

图2 四苯乙烯多组分金属笼的单晶结构
由光催化产氢实验可知,引入Re催化中心后,其产氢能力相较于之前提升了大约三倍左右,其产氢效率高达1707 mol g-1 h-1。由循环实验以及光开关实验可以证明该金属笼具有良好的稳定性。此外,电化学测试结果表明了含有Re催化中心的金属笼具有更好的电荷分离效率以及还原H+的能力。

图3 金属笼的光催化产氢能力研究
随后,通过飞秒瞬态吸收光谱与DFT计算揭示了金属笼可以作为一个良好的平台,实现从光敏剂到催化中心高效的定向电子转移,从而实现优异的光催化产氢性能。
该研究提供了一种将多功能配体集成到特定金属笼中以提高光催化产氢效率的通用策略,这将指导未来设计具有光催化活性的金属笼,并推动金属笼在光催化产氢领域的发展。
(摘自WileyChem公众号)