近日,安徽工业大学袁国赞教授课题组在《美国化学会志》期刊上发表光催化二氧化碳还原(CO2RR)的最新研究成果。
近日,安徽工业大学袁国赞、于伟彬、西北大学韩英锋等人将Co-酞菁(Pc-Co)组装在四方棱柱形金属笼内,构筑结构明确的超分子光催化剂Pc-Co@Cage。相关成果“Molecular Co-Catalyst Confined within a Metallacage for Enhanced Photocatalytic CO2 Reduction”发表在《美国化学会志》期刊上(J. Am. Chem. Soc., 2024, DOI: 10.1021/jacs.3c14254)。
由金属中心和有机配体组成的分子催化剂,在过去的几十年中一直是化学和材料科学中最前沿的发展方向之一。由于分子催化剂中金属活性位点和分子配体的高度可设计性,它们的催化活性具有可调控性。然而,一些疏水性分子催化剂(例如酞菁和卟啉基有机催化剂),其在溶液中倾向于聚集,往往导致催化剂失活。

图1. 金属笼1和超分子催化剂Pc-M@1的合成路线
受到自然界酶的启发,通过合理设计超分子笼,使其充当包裹目标分子催化剂的容器,可以防止分子催化剂失活。在主-客体加合物中,分子催化剂活性位点可以完全被隔离在配位笼的纳米空腔中,进而阻止其自身的聚集。
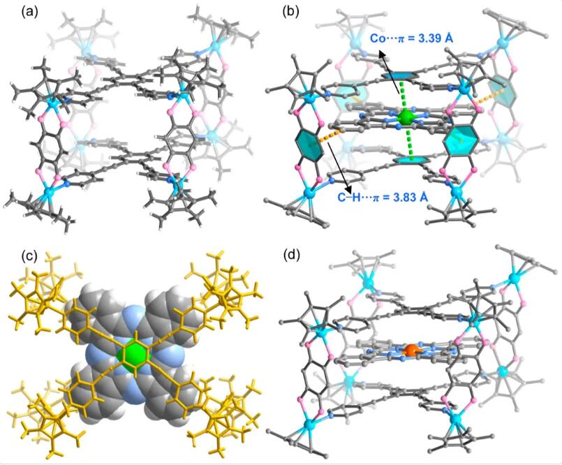
根据以上策略,研究人员利用一种新的超分子共组装策略,合成出一种四棱柱形金属笼包裹金属酞菁(Pc-Co)的超分子催化剂Pc-Co@1,可以有效地隔离分子催化剂Pc-Co的活性位点。Pc-Co@1催化剂表现出很高的光催化CO2性能,其催化TONCO值及选择性SelCO分别为4175和92%,远高于非限域分子催化剂Pc-Co的催化性能(TONCO= 500, SelCO= 54%)。
通过系列控制实验、瞬态荧光/吸收光谱、原位光谱等技术,系统研究了光催化CO2还原动力学、催化过程中电子转移动力学、催化机理等,研究结果表明Pc-Co@1明显增强的光催化性能可能源于其金属笼对分子催化剂的限域效应和更高的电子传输效应。

图2. 不同视角下的超分子催化剂Pc-Co@1和Pc-Zn@1的晶体结构

图3. 催化剂Pc-Co@1, Pc-Co和金属笼1的光催化CO2还原性能
本研究提出了一种金属-有机笼封装分子催化剂的共组装策略,共组装得到的超分子光催化剂可以阻止分子催化剂在溶液中的自身聚集,进而提升光催化CO2还原活性和选择性。系统研究表明,增强性光催化CO2还原性能归因于孤立的单钴活性位点和金属笼的协同作用,增强了光电子的转移,从而促进了CO2的吸附、活化和转化。本研究为构建高活性、高选择性和稳定的CO2还原光催化剂体系提供了新思路。
(摘自 超分子科技与绿色化学)