精准调控金属有机框架(MOFs)的带隙对于提高其在光催化过程中的可见光吸收能力至关重要,这既是一项重要的挑战,也是一个诱人的机遇。一般来说,在有机配体中引入不同的取代基或者扩展其共轭结构是最为常用的方法。然而,由于拓扑结构和合成热力学的限制,通常很难将不同的取代基和大的共轭结构同时引入到MOFs中。
近日,南开大学材料科学与工程学院卜显和院士、庞建东研究员团队首次将系统的取代基和大共轭的芳香结构(13个苯环)同时引入到长程有序的框架材料中,实现了对含纳米石墨烯MOFs的定向修饰。所制备的12种MOFs具有1.41 eV(范围从3.25 eV到1.84 eV)的宽且可调的带隙,光催化CO2还原的转化率提高了33.2倍。相关论文“Precisely Tuning Band Gaps of Hexabenzocoronene-Based MOFs Toward Enhanced Photocatalysis”发表于Angew. Chem. Int. Ed.期刊上(DOI: 10.1002/anie.202418017)。
本文亮点在于:(1)采用对称性削减策略,预先设计了6种具有系统的取代基(-NO2、-H、-tBu、-OCH3、-OH和-NH2)的新型4连接配体,并合成了相应的保留六苯基苯片段的层柱Zr-MOFs(NKM-668)。(2)NKM-668 系列MOFs可以通过Scholl反应转化为具有大π共轭结构的六苯并蒄基MOFs(pNKM-668),三维微电子衍射(3D ED)测试验证了这一共价转换过程并给出了NKM-668和pNKM-668的具体结构。(3)得益于对配体的前修饰和MOFs合成后环化相结合策略的有效实施,所合成的12种完全相同拓扑结构和金属节点的MOFs具有1.41 eV(从3.25 eV到1.84 eV)的宽且可调节的带隙,光催化CO2还原的转化率提高了33.2倍。
首先,该团队成员基于六连接的PCN-136中配体对称性过高而无法近一步进行修饰的不足,精心设计并合成了一系列具有不同取代基的四连接配体 (4-connected ligand,type 2),所合成的MOFs经Scholl反应后可同时保留中心结构大共轭,高灵活性和取代基可参与共轭三个关键性优点,为合成可定向修饰的六苯并蔲基MOFs奠定了基础。

图1. NKM-668和pNKM-668系列MOFs的合成示意图
作者设计将上述6种具有不同取代基的4连接配体固定在BTB与Zr簇形成的层与层之间,所合成的系列层柱MOFs (NKM-668) 具有高度的水稳定性和化学稳定性。三维微电子衍射 (3D ED) 测试验证了从NKM-668到pNKM-668的共价转换过程并给出了两者的具体结构。
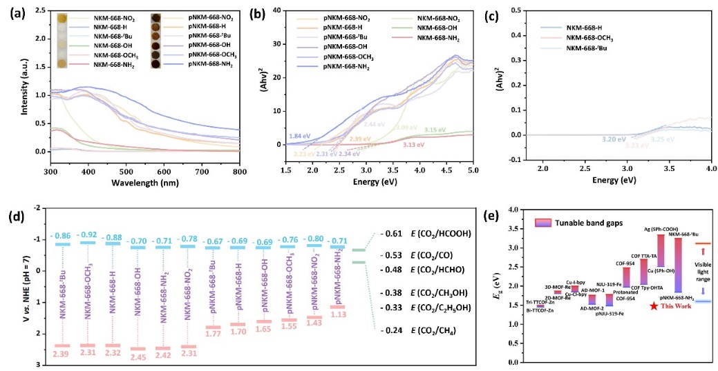
取代基的不同和大共轭结构的形成与否都对MOFs的可见光吸收能力具有重要的影响,NKM-668系列的12种MOFs表现出了高达1.41 eV的可调节禁带宽度值。值得注意的是,这12种MOFs具有完全一致的拓扑结构和相同的金属簇。这一将配体的前修饰和MOF合成后环化相结合的策略要优于绝大多数已报道的晶态多孔材料的禁带宽度调节方法。

图2. NKM-668和pNKM-668系列MOFs的可见光吸收能力和可调带隙
DFT理论计算揭示了NKM-668和pNKM-668系列MOFs中光生电子的可能转移路径,也体现了取代基的不同以及Scholl反应前后电子云的分布差异,这将有助于理解该系列MOFs在光催化反应中的具体性能表现。
pNKM-668-NH2的光催化CO2转化速率是NKM-668-H的33.2倍,且比同样具有六苯并蔲结构基元的PCN-136高1.69倍。值得注意的是,六苯并蔻这一结构基元所在的配体占据PCN-136质量的64.7%,而在pNKM-668-NH2中这一比例仅占40.0%,这也就意味着在相同质量的六苯并蔲结构基元参与光催化的条件下,pNKM-668-NH2相较于PCN-136所提高的光催化CO2转化速率倍数将由1.69倍提高至2.74倍。相对于PCN-136对pbz-MOF-1所报道的MOF合成后环化的改进策略,pNKM-668系列聚焦于不同取代基与六苯并蔻结构基元之间的相互作用,以此来实现六苯并蔲MOFs的定向修饰和带隙的精准调控。石墨烯和MOFs是当今材料科学领域的研究热门材料,因此该类可定向修饰的含纳米石墨烯MOFs的成功合成将推进石墨烯和MOFs材料的进一步有机结合。

图3. 光催化CO2还原实验和光电化学表征
总结与展望
通过对称性削减策略,预先设计了一系列具有不同取代基的4连接配体(-NO2:吸电子效应,-H和-tBu:电中性,-OCH3、-OH和NH2:给电子效应)来构建保留六苯基苯片段的层柱Zr-MOFs (NKM-668)。系列NKM-668 MOFs可以通过Scholl反应进一步转化为pNKM-668 MOFs。得益于对配体的前修饰和对MOFs的合成后环化相结合策略的有效实施、层柱结构的形成以及给电子取代基的引入,pNKM-668-NH2在光催化CO2还原反应中表现出了比PCN-136更好的性能。本研究首次将系统的取代基和大共轭芳香结构 (13个苯环) 同时引入到长程有序的框架材料中,实现了可对六苯并蔲基MOFs进行定向修饰的目标,并近一步释放了其在光催化领域内的应用潜力。
(摘自X-MOL)