电卡制冷是利用外加电场改变材料的极化状态,从而实现温度调控和固态制冷的有效方法之一。反铁电材料具有相邻偶极反向平行的特性,在电场作用下其极化状态的变化导致熵变,从而产生极强的电卡效应,在固态制冷、高效率储能等领域具有巨大的应用潜力。目前,针对无机氧化物和有机聚合物材料体系的电卡效应研究取得了较大进展,然而对反铁电分子材料及相关性能尚缺乏深入研究。
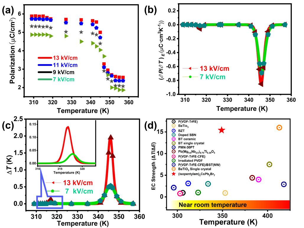
在国家自然科学基金重点项目、国家杰出青年基金、中科院基础前沿0-1原始创新项目及孙志华研究员主持的国家优秀青年基金资助下,中国科学院福建物质结构研究所结构化学国家重点实验室“无机光电功能晶体材料”罗军华研究员团队创新结构设计思路,将偶极基元的离子位移与原子无序两种机制相结合,构筑了一例具有优良电卡效应的反铁电分子材料。研究结果发现:化合物在室温附近发生了铁电相—反铁电相—顺电相的连续转变,变温晶体结构、非线性光学和电学性能等实验结果证实了该过程。特别在相变点附近,材料表现出优良的电卡效应和制冷效率,单位电场导致的绝热温变(ΔT/ΔE)高达~15.4 K . m/MV,能够与经典氧化物相媲美,揭示了反铁电分子材料在固态制冷领域的潜在应用价值。此外,不同于传统材料电卡效应的起源,该分子反铁电体内偶极基元的离子位移和原子无序相互协同的作用机制,为后续设计合成反铁电分子材料提供了新的研究思路。

相关研究结果最近以全文的形式发表在《美国化学会志》(J. Am. Chem. Soc. 2020, 142, 49, 20744-20751)。该论文通讯作者为孙志华研究员,第一作者为联培毕业硕士生李茂蕃。
论文链接:https://pubs.acs.org/doi/10.1021/jacs.0c09601
(罗军华课题组供稿)